Skip to main content
Login
Top Menu
Staff Directory
School Calendar
Infinite Campus
Employment
District News
Search
700 Milton Mills Rd, Acton, ME 04001
PH: (207) 636-2100
FAX: (207) 636-3045
Main Navigation Menu
Home
About
About Us
Curriculum & Achievement
Policies
RFP's
School Report Card
Employment
Use of School Facilities
Student Resources
Kids Corner
Attendance Information
Backpack Program
Covid 19 Resources
Documents & Forms
Help and Support
Infinite Campus
Teacher Pages
Library
McKinney Vento
PBIS/SWIS Online BRF
Request for Proposals
Special Services
Student Information
Wildcat Spirit Wear
ARP ESSER-Return to School Plan
Teachers
Parents
Staff
Departments
Athletics
Health and Wellness
Nutrition
PTG
School Committee
Transportation
Technology
Contact Us
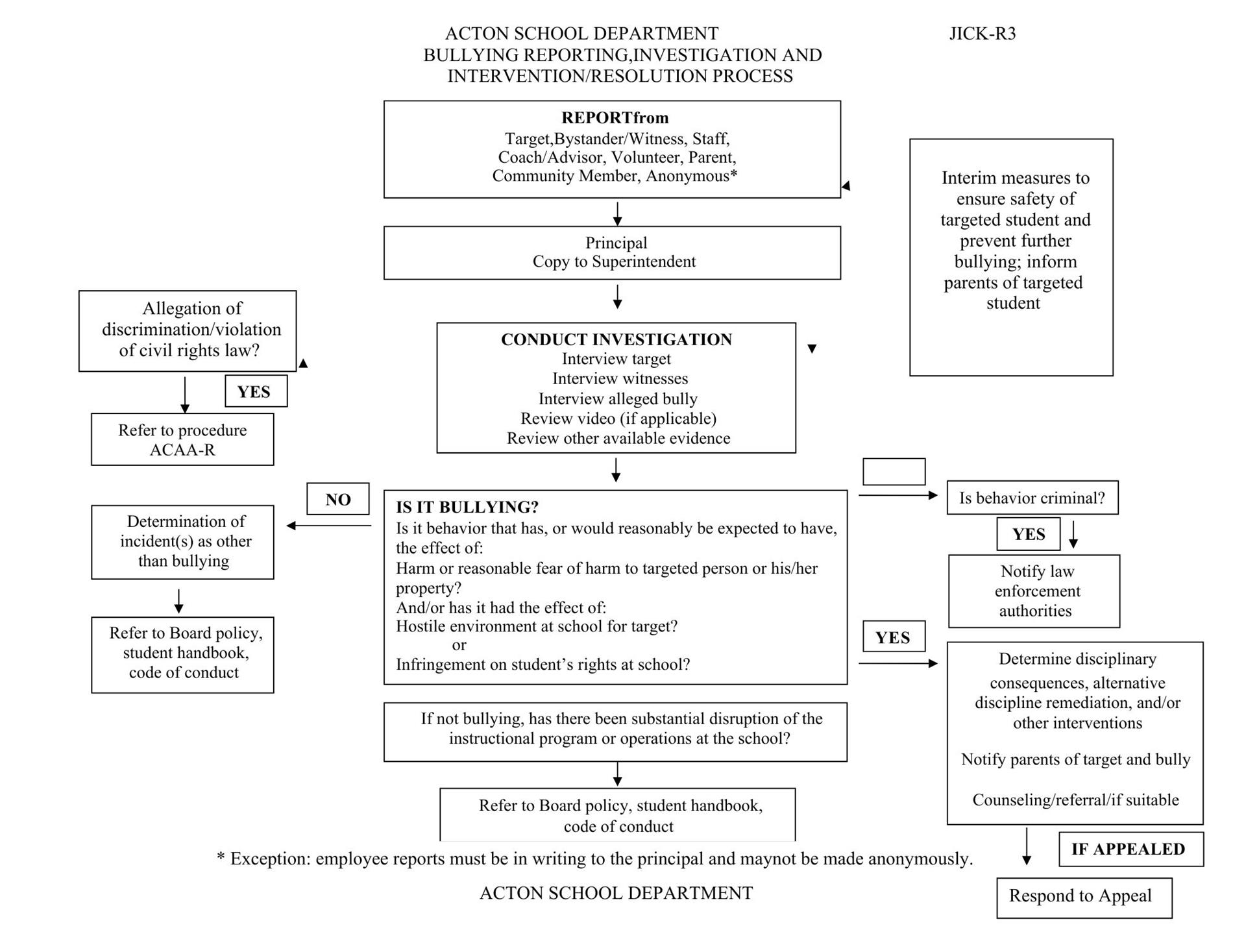
JICK-R3 - Bullying Process